栖凤楼论坛信息社区,良家论坛一品楼,一品阁楼论坛,万花楼论坛网

首页 > 技术资讯 > 技术学院

一种高感度深紫外正性化学增幅型抗蚀剂的制备

光致抗蚀剂(又称光刻胶)是光刻成像技术中的基础材料化学增幅概念于20世纪80年代初提出,逐渐成为光致抗蚀剂研究及商品化的技术基础。化学增幅技术原理是光产酸剂(PAG)经过光照产生的酸在后烘过程催化曝光区域发生进一步化学反应,使光化学反应效率获得大幅提升。KrF激光(248nm)光刻技术是目前主流的半导体加工光刻技术之一,248?nm光致抗蚀也普遍采用化学增幅体系.

本文从乙烯基醚双键与酚羟基反应出发,与以往此类反应需要催化剂不同,将PHS和环己基乙烯基醚(CVE)在加热及不使用催化剂条件下,反应得到缩醛保护聚合物。该聚合物含有高酸解活性的缩醛?;せ?,与光产酸剂PAG等组成新型248?nm正性化学增幅型抗蚀剂材料。同时设计并制备了对羟基苯乙烯?金刚烷基甲基丙烯酸酯共聚物作为成膜材料的一部分,可有效提高抗蚀剂膜层的玻璃化转变温度。制得的248?nm正性化学增幅型抗蚀剂具有高感度及高分辨率的性质。

1实验部分

1试剂与仪器

聚对羟基苯乙烯(Mw=12200,Mw/Mn=1.08,日本曹株式会社VP?8000)、3?羟基?1?金刚烷基甲基丙烯酸酯、环己基乙烯基醚及四甲基氢氧化铵均为市售工业品,其它常用原料为分析纯试剂。二砜类光产酸剂按文献方法自制,其结构见Scheme1.

聚对羟基苯乙烯结构

红外光谱(FTIR)采用美国Nicolet380傅里叶变换红外光谱仪测定,固体采用KBr压片法,液体采用液膜法;紫外吸收光谱测试采用北京普析通用仪器有限责任公司的TU?1901双光束紫外可见分光光度计;1H核磁共振采用德国BrukerAdvanceⅢ傅里叶变换?核磁共振波谱仪测定,四甲基硅烷(TMS)为内标,400MHz;热性质和玻璃化转变温度采用瑞士METTLERTOLEDO公司的TGA热重分析仪和DSC1差热分析仪测定,升温速率10K/min,氮气流量为20mL/min,液氮冷却;光源光强采用北京师范大学光电仪器厂的紫外辐照计UV?A测定。

2实验过程

2。1聚对羟基苯乙烯?环己基乙烯基醚缩醛?;ぞ酆衔铮ǎ校龋?CVE)的制备将聚对羟基苯乙烯(PHS,9.600g,0.08mol)和环己基乙烯基醚(CVE,10.08g,0.08mol)置于装有温度计和冷凝管的三口瓶中,加入20mL丙二醇甲醚醋酸酯(PGMEA)作为溶剂,在氮气?;は?,升温至120~130℃,反应3h。用红外光谱监测反应进程。反应结束后,将反应液冷却至室温,滴加至适量石油醚中,析出白色固体,抽滤,石油醚洗涤3次,于50℃真空干燥至恒重,得到17.53g聚对羟基苯乙烯?环己基乙烯基醚反应产物(PHS?CVE),产率89.1%。反应过程如Scheme2所示。

反应过程 

Scheme2PreparationofPHS?CVE

1.2.2对羟基苯乙烯?3?羟基?1?金刚烷基甲基丙烯酸酯共聚物[P(4?HS?ADMA)]的制备在备有冷凝管和温度计的四口瓶中加入对乙酰氧基苯乙烯(12.96g,0.08mol)、3?羟基?1?金刚烷基甲基丙烯酸酯(4.73g,0.02mol)和正十二硫醇(0.18g,质量分数1%),溶于50mLTHF中,磁力搅拌均匀。将偶氮二异丁腈(0.16g,摩尔分数1%)溶于10mL二甲基亚砜(DMSO)中,作为引发剂,在通入氮气,加热升温至60℃时,滴入反应体系中,30min加完。保持温度在60~65℃,继续反应约3h。反应结束后,冷却至室温,加入浓盐酸进行水解,红外监测反应进程,约24h乙?;馔瓿桑谑椅孪录尤胧柿克?,析出白色固体,抽滤,用水洗涤至中性,真空干燥至恒重,得到白色粉末状固体15.89g,产率为89.8%。

1.2.3缩醛保护PHS的性质表征将P(HS?ADMA)与PHS?CVE分别按照不同质量比溶解于乙醇中,充分搅拌均匀后滴入水中析出白色固体,真空干燥至恒重得到白色粉末状固体。测定此固体混合物的玻璃化转变温度。配制质量分数为10%的PHS?CVE的PGMEA溶液,涂布于石英片上,在100℃烘干90s,形成均匀膜层,利用TU?1901双光束紫外可见分光光度计测定其紫外吸收光谱。?。保纾校龋?/span>?CVE和0.03g二砜类光产酸剂,溶于7.5mLPGMEA中,将溶液涂于KBr片上,于100℃烘90s除去溶剂,以低压汞灯(254nm)为光源(曝光量为50mJ/cm2,曝光1min),测定曝光前后固体膜层的红外光谱。

1.2.4化学增幅型248?nm抗蚀剂材料的成像实验将质量比为1∶1的PHS?CVE,P(HS?ADMA)以及二砜光产酸剂(成膜树脂固含量的5%)配制成总固含量为15%的PGMEA溶液。充分溶解后,用孔径为

.μm滤膜过滤得到溶液,离心旋涂于六甲基二硅胺烷处理过的硅片上(转速:4000r/min),于90℃前烘60s,得到厚度为190nm的抗蚀剂膜层。采用ASMLScannerPAS5500/800型KrF激光步进曝光机进行曝光成像实验,曝光后,分别在80和100℃后烘60s,室温下用2?38%四甲基氢氧化铵水溶液显影60s,并用去离子水冲洗,烘干,在扫描电镜下观察形貌。

2结果与讨论

1材料制备

PHS和CVE的缩醛?;し从捎煤焱夤馄准嗖夥从蹋ㄈ缤迹彼荆?。图1谱线a为PHS红外光谱,谱线b为反应体系的红外光谱。随着反应的进行,3375cm-1处酚羟基—OH伸缩振动吸收峰减弱,同时在1141,1043cm-1处出现C—O—C伸缩振动吸收,表明反应进行。FTIR(KBr),ν?/cm-1:3375(—OH),2929(C—H),1141,1043(C—O—C),1512,1608(benzeneskeleton)。

反应进程 

                                                                   Fig.1FTIRspectraofPHS(a)andreactionproduct(b)     Fig.21HNMRspectrumofPHS?CVE

PHS和CVE的投料摩尔比为1∶1(按聚合单体计)时,所得的缩醛保护产物的1HNMR谱图如图2所示??杉直鹩胙踉酉嗔拇渭谆系那庠樱龋猓?/span>δ3.55,0.5H),Hc(δ5.41,0.5H)以及苯环的氢原子ArH(δ6~7,4H)。通过积分面积计算得出缩醛基团比例为50%。1HNMR(400MHz,CD3OCD3),δ:8.0~9.0(PHS,0.47H),6.0~7.0(ArH,4H),3.55(—CHofCVE,0.50H),5.41(—CHofCVE,0.50H),3.33(H2O),0.8~2.0(—CH,—CH2,—CH3,10?70H)。通过改变PHS和CVE的投料比可制得不同?;ぢ实乃跞┍;ぞ鄱贼腔揭蚁?。

2.2性质表征

2.2.1溶解性缩醛?;げ铮校龋?/span>?CVE易溶于常用光刻胶溶剂如PGMEA、乳酸乙酯、乙二醇乙醚,也易溶于N,N?二甲基甲酰胺、甲醇、丙酮、二氧六环、乙酸乙酯、四氢呋喃、醋酸丁酯以及环己酮等常用有机溶剂。

2.2.2热稳定性缩醛?;ぞ酆衔铮校龋?/span>?CVE的热重分析曲线如图3所示。起始热分解温度在125℃,具有较好的热稳定性。此外,在密闭条件下,这种聚合物具有很好的储存稳定性,但在接触空气后,在湿气作用下会逐渐分解。

2.2.3玻璃化转变温度PHS具有较高的玻璃化转变温度(Tg),但缩醛?;ず蟮木酆衔镏械娜嵝员;せ攀沟镁酆衔锏模裕缑飨越档?。如35%缩醛?;さ模校龋?/span>?CVE的玻璃化转变温度约为75℃,其Tg曲线如图4所示。这样低的Tg不能单独用作光刻胶的成膜树脂,这是因为感光成像后的光刻加工需要比较高的温度,较低的Tg温度容易导致微细图形的变形。因此考虑加入高Tg且相容性、碱溶性都要好的聚合物以提高光刻胶膜层的Tg。

将缩醛?;ず缶酆衔铮校龋?/span>?CVE与对羟基苯乙烯与甲基丙烯酸金刚烷酯的共聚物P(4?HS?ADMA)混合,测定混合物的Tg曲线如图5所示。质量比为1∶1的混合物的Tg为116℃,质量比为1∶2的混合物的Tg为122℃。加入P(4?HS?ADMA)后,玻璃化转变温度有明显提升,P(4?HS?ADMA)相对含量越高,树脂混合物的玻璃化转变温度越高。由Tg曲线可见,2种聚合物的混合物只有1个Tg,表明其具有较好的相容性。

3TGAcurveofPHS?CVE     Fig、4DSCcurveofPHS?CVE 

Fig、3TGAcurveofPHS?CVE     Fig、4DSCcurveofPHS?CVE

3TGAcurveofPHS?CVE     Fig、4DSCcurveofPHS?CVE 

Fig、5DSCcurvesofthemixtureofPHS?CVEandP(4?HS?ADMA)

Fig、6UVspectraofPHS(a)andPHS?CVE(b)

2.2.4紫外吸收光谱PHS是248?nm光刻胶常用的成膜树脂,因其在248nm处有良好的透明性。PHS和PHS?CVE聚合物薄膜的紫外吸收光谱如图6所示。缩醛?;ず蟮模校龋拥淖贤馕毡浠淮螅冢玻矗福睿泶ξ战先?,透明性良好,可用于248?nm光致抗蚀剂材料。

2.3缩醛?;ぞ酆衔锼峤饣钚?/span>

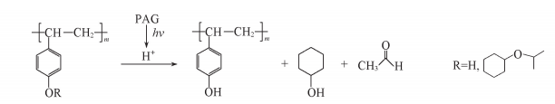
图7是含5%二砜类光产酸剂的PHS?CVE膜层在曝光前、曝光60s(曝光量:50mJ/cm2)以及曝光60s并在100℃后烘60s的红外光谱。曝光后,3370cm-1处羟基吸收峰有明显增强,可见,曝光后PHS?CVE在室温下就能发生酸解。曝光再经后烘,3370cm-1处羟基吸收峰继续增大,表明PHS?CVE进一步酸解。同时,曝光后,在1042cm-1处—C—O—C—键振动吸收峰轻微减弱,继续后烘60s,缩醛—C—O—C—键振动吸收峰明显减弱。说明缩醛结构在强酸催化下能够发生分解,室温即可酸解,100℃后烘之后酸解更彻底.缩醛?;さ木酆衔锏乃岽呋驯;し从θ纾樱悖瑁澹恚澹乘尽#校粒枪庹詹模龋呋校龋?CVE分解为聚对羟基苯乙烯、环己醇和乙醛。

2.4化学增幅型248?nm光致抗蚀剂的成像性能

缩醛?;さ木鄱贼腔揭蚁┚哂懈咚峤饣钚?,因此可以和光产酸剂等组成化学增幅型正性光致抗蚀剂。通过尝试各种光产酸剂,发现常用的离子型的盐光产酸剂会导致缩醛保护基逐渐分解,而非离子型光产酸剂可组成稳定的光致抗蚀剂溶液。

Scheme3AcidcatalyzeddeprotectionreactionofPHS?CVE 

Scheme3AcidcatalyzeddeprotectionreactionofPHS?CVE

以PHS?CVE和聚对羟基苯乙烯?甲基丙烯酸金刚烷酯为成膜树脂,与二砜类光产酸剂组成了三组分光致抗蚀剂,采用KrF激光(248nm)光刻设备进行初步的成像性能评价。在10mJ/cm2的曝光量下,可得到线宽为180nm的图形,SEM图如图8所示。光刻胶膜厚为200nm,最小曝光量E0为5mJ/cm2,留膜率在99%以上。后烘温度分别在80和100℃时,感度无明显差别。

用PHS?CVE和二砜光产酸剂组成二组分光致抗蚀剂,进行KrF激光光刻成像评价。在100℃后烘条件下,最小曝光量E0可达到3mJ/cm2,在6mJ/cm2的曝光量下得到的200nm线宽图形质量较差,线边缘粗糙度大,表明在后烘过程中的酸迁移作用大,线条容易发生变形。商品化的248?nm光刻胶的感度一般在50mJ/cm2左右,与之相比由缩醛保护聚对羟基苯乙烯组成的光刻胶的感度获得大幅提高,这是由于缩醛?;せ哂泻芨叩乃峤饣钚?span style="font-family:微软雅黑">。成像实验表明这是一种高感度、高分辨率的248?nm光刻胶。

0.2微米 

Fig.8SEMimageofpositive?tonepatternswith180nmlinewidthobtainedfromthethree?componentresistcomposedofPHS?CVE

3结论

聚对羟基苯乙烯可与环己基乙烯基醚在加热120~130℃且无需催化剂存在下反应得到缩醛?;さ木酆衔?,这种聚合物热分解温度在125℃以上,在248nm处具有很好的光透明性并且易溶于常用光刻胶溶剂。由于缩醛?;せ哂泻芨叩乃峤饣钚?,因此可以和非离子型光产酸剂等组成化学增幅型深紫外正性光致抗蚀剂。采用KrF激光步进曝光,在10mJ/cm2曝光量,100℃后烘,可得到180nm线宽图形,留膜率在99%以上,是一种高感度、高分辨率的248?nm光刻胶。缩醛保护基团会导致聚对羟基苯乙烯成膜材料的Tg降低,在光刻胶中加入玻璃化转变温度相对较高的聚对羟基苯乙烯?甲基丙烯酸?3?羟基?1?金刚烷基酯共聚物可有效提高光刻胶膜层的玻璃化转变温度,从而降低后烘过程中酸迁移的影响,并更好地适应后续光刻工艺的要求。

文献来源高等学?;аП?Doi:10.7503/cjcu20160804作者:吴立萍, 胡凡华, 王倩倩, 王 菁, 王力元(转载仅供参考学习及传递有用信息,版权归原作者所有,如侵犯权益,请联系删除)